30% OFF
Special Price
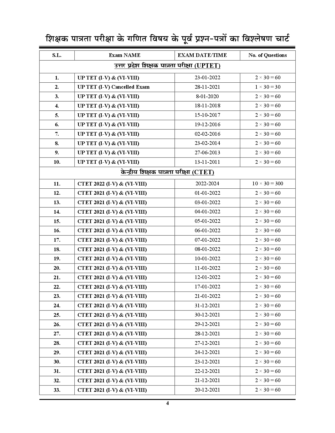
TET/CTET - Mathematics & Teaching (Class I to V & VI to VIII) Chapter-wise Solved Papers, 5500+ Objective Questions - 2026
| Book | TET/CTET - Mathematics & Teaching (Class I to V & VI to VIII) Chapter-wise Solved Papers, 5500+ Objective Questions - 2026 |
| Author | YCT |
| Binding | Paperback |
| Publishing Date | 12/01/2026 |
| Publisher | Youth Competition Times |
| Number of Pages | 512 |
| Language | Hindi & English Medium |
0 Ratings &
Reviews
Youth Competition Times is a leading competitive books publication that exists for last 32 years estd in 1983 previously this company was know as name with Adhunik Prakashan.But the same company is now famous with the name of Youth Competition Times.
12 Church Lane Allahabad UP India 211003
Email- yctpublisher@gmail.com
Customer Service Number
+919554973128
Reference: demo_17
Lorem ipsum dolor sit amet, consectetur adipisic elit eiusm tempor incidid ut labore et dolore magna aliqua. Ut enim ad minim venialo quis nostrud exercitation ullamco
